“According to the (alleged) author, as well as the various publishing liaisons among whom this manuscript changed hands (in the mid-1980s?), this is a top secret manual discovered serendipitously by a Boeing employee inside of a defunct IBM printer (purchased at a government sale). Too convenient a story? You be the judge.
The manual outlines a kind of theoretical economics based on the idiosyncratic principle that society functions like a series of electric circuits (money being the energy input, capacitors being stores of value/capital, etc). It asserts that, with the aid of various technicians skilled at mapping industrial inputs/outputs, all areas of human life — industry, politics, and education — can be directly controlled, and that the public’s attention can be successfully diverted on a near-continuous basis from what’s really going on.”

This document like the Protocols of the Elders of Zion is a clear blueprint of what has been done. Neither are forgeries, yet because they contain the truth they will be derided as such. Just like how they always call the truth a conspiracy theory to detract and keep people away from reading a document.
This document represents the doctrine adopted by the Policy Committee
of the Bilderburg Group during its first known meeting in 1954.
The following document, dated May 1979, was found on July 7, 1986,
in an IBM copier that had been purchased at a surplus sale.
Silent Weapons for Quiet Wars
http://www.lawfulpath.com/ref/sw4qw/index.shtml – preface
http://www.lawfulpath.com/ref/sw4qw/
The following document is taken from two sources. The first, was acquired on a website
(of which I can’t remember the address) listing as its source the book titled Behold A Pale
Horse by William Cooper; Light Technology Publishing, 1991. The second source is a
crudely copied booklet, which does not contain a copyright notice, or a publisher’s name.
With the exception of the Forward, the Preface, the main thing that was missing from the
first source was the illustrations. As we began comparing the two, we realized that the
illustrations, and the accompanying text (also missing from the first) made up a
significant part of the document. This has now been restored by The Lawful Path, and so
far as I know, is the only internet copy available complete with the illustrations.
We have no first-hand knowledge that this document is genuine, however many of the
concepts contained herein are certainly reasonable, important, and bear strong
consideration.
If anyone has additional knowledge about the source of this document; has better copies
of the illustrations than the ones posted here; has any missing pieces to this document, or
has any comments which can improve upon the quality of this document, we will
appreciate your comments.
The Lawful Path http://www.lawfulpath.com/
Additional information includes confirmation that this policy was adopted by the
International
“Elites” at the first Bilderberg Meeting in 1954.
Silent Weapons for Quiet Wars
Forward
This manuscript was delivered to our offices by an unknown person. We did not steal the
document, nor are we involved with any theft from the United States Government, and
we did not get the document by way of any dishonest methods. We feel that we are not
endangering the “National Security” by reproducing this document, quite the contrary; it
has been authenticated and we feel that we are not only within our rights to publish it, but
morally bound to do so.
Regarding the training manual, you may have detected that we had to block out the
marginal notes made by the selectee at the C.I.A. Training Center, but I can assure you
that the manual is authentic, and was printed for the purpose of introducing the selectee to
the conspiracy. It has been authenticated by four different technical writers for Military
Intelligence, one just recently retired who wants very much to have this manual
distributed throughout the world, and one who is still employed as an Electronics
Engineer by the Federal Government, and has access to the entire series of Training
Manuals. One was stationed in Hawaii, and held the highest security clearance in the
Naval Intelligence, and another who is now teaching at a university, and has been
working with the Central Intelligence Agency for a number of years, and wants out
before the axe falls on the conspirators.
We believed that the entire world should know about this plan, so we distributed
internationally one-hundred of these manuscripts, to ask individuals at top level positions
their opinions. The consensus opinion was to distribute this to as many people as who
wanted it, to the end that they would not only understand that “War” had been declared
against them, but would be able to properly identify the true enemy to Humanity.
Delamer Duverus
PAGE 01
Silent Weapons for Quiet Wars
Preface
Conspiracy theories are nothing new to history. Plots to “kill Caesar” and overthrow
Rome abounded, for instance. However, it is seldom that concrete clues to such plots
come to light, and are generally known.
Silent Weapons for Quiet Wars, An Introduction Programming Manual was uncovered
quite by accident on July 7, 1986 when an employee of Boeing Aircraft Co. purchased a
surplus IBM copier for scrap parts at a sale, and discovered inside details of a plan,
hatched in the embryonic days of the “Cold War” which called for control of the masses
through manipulation of industry, peoples’ pastimes, education and political leanings. It
called for a quiet revolution, putting brother against brother, and diverting the public’s
attention from what is really going on.
The document you are about to read is real. It is reprinted in its virgin form, with
diagrams, as a touch of reality.
PAGE 02
Silent Weapons for Quiet Wars
Table of Contents
- Security 4
- Historical Introduction 4
- Political Introduction 6
- Energy 6
- Descriptive Introduction of the Silent Weapon 7
- Theoretical Introduction 8
- General Energy Concepts 8
- Mr. Rothschild’s Energy Discovery 9
- Apparent Capital as “Paper” Inductor 10
- Breakthrough 10
- Application in Economics 10
- The Economic Model 11
- Industrial Diagrams 12
- Three Industrial Classes 14
- Aggregation 14
- The E-model 14
- Economic Inductance 15
- Inductive Factors to Consider 15
- Translation 15
- Time Flow Relationships and Self-destructive Oscillations 16
- Industry Equivalent Circuits 18
- Stages of Schematic Simplification 20
- Generalization 21
- Final Bill of Goods 21
- The Technical Coefficients 22
- The Types of Admittances 22
- The Household Industry 23
- Household Models 24
- Economic Shock Testing 25
- Introduction to the Theory of Shock Testing 26
- Example of Shock Testing 26
- Introduction to Economic Amplifiers 30
- Short List of Inputs 31
- Short List of Outputs 34
- Table of Strategies 35
- Diversion, the Primary Strategy 36
- Diversion Summary 37
- Consent, the Primary Victory 37
- Amplification Energy Sources 37
- Logistics 38
- The Artificial Womb 39
- The Political Structure of a Nation – Dependency 39
- Action/Offense 39
- Responsibility 39
- Summary 40
- System Analysis 40
- The Draft 41
- Enforcement 42
PAGE 03
Silent Weapons for Quiet Wars
TOP SECRET
Silent weapons for quiet wars
Operations Research Technical Manual
TW-SW7905.1
Welcome Aboard
This publication marks the 25th anniversary of the Third World War, called the “Quiet
War”, being conducted using subjective biological warfare, fought with “silent weapons”.
This book contains an introductory description of this war, its strategies, and its
weaponry.
May 1979 #74-1120
Security
It is patently impossible to discuss social engineering or the automation of a society, i.e.,
the engineering of social automation systems (silent weapons) on a national or worldwide
scale without implying extensive objectives of social control and destruction of human
life, i.e., slavery and genocide.
This manual is in itself an analog declaration of intent. Such a writing must be secured
from public scrutiny. Otherwise, it might be recognized as a technically formal
declaration of domestic war. Furthermore, whenever any person or group of persons in a
position of great power and without full knowledge and consent of the public, uses such
knowledge and methodologies for economic conquest – it must be understood that a state
of domestic warfare exists between said person or group of persons and the public.
The solution of today’s problems requires an approach which is ruthlessly candid, with no
agonizing over religious, moral or cultural values.
You have qualified for this project because of your ability to look at human society with
cold objectivity, and yet analyze and discuss your observations and conclusions with
others of similar intellectual capacity without the loss of discretion or humility. Such
virtues are exercised in your own best interest. Do not deviate from them.
Historical Introduction
Silent weapon technology has evolved from Operations Research (O.R.), a strategic and
tactical methodology developed under the Military Management in England during
PAGE 04
Silent Weapons for Quiet Wars
World War II. The original purpose of Operations Research was to study the strategic and
tactical problems of air and land defense with the objective of effective use of limited
military resources against foreign enemies (i.e., logistics).
It was soon recognized by those in positions of power that the same methods might be
useful for totally controlling a society. But better tools were necessary.
Social engineering (the analysis and automation of a society) requires the correlation of
great amounts of constantly changing economic information (data), so a high-speed
computerized data-processing system was necessary which could race ahead of the
society and predict when society would arrive for capitulation.
Relay computers were to slow, but the electronic computer, invented in 1946 by J.
Presper Eckert and John W. Mauchly, filled the bill.
The next breakthrough was the development of the simplex method of linear
programming in 1947 by the mathematician George B. Dantzig.
Then in 1948, the transistor, invented by J. Bardeen, W.H. Brattain, and W. Shockley,
promised great expansion of the computer field by reducing space and power
requirements.
With these three inventions under their direction, those in positions of power strongly
suspected that it was possible for them to control the whole world with the push of a
button.
Immediately, the Rockefeller Foundation got in on the ground floor by making a fouryear
grant to Harvard College, funding the Harvard Economic Research Project for the
study of the structure of the American Economy.i One year later, in 1949, The United
States Air Force joined in.
In 1952 the grant period terminated, and a high-level meeting of the Elite was held to
determine the next phase of social operations research. The Harvard project had been
very fruitful, as is borne out by the publication of some of its results in 1953 suggesting
the feasibility of economic (social) engineering.
Engineered in the last half of the decade of the 1940’s, the new Quiet War machine stood,
so to speak, in sparkling gold-plated hardware on the showroom floor by 1954.
With the creation of the maser in 1954, the promise of unlocking unlimited sources of
fusion atomic energy from the heavy hydrogen in sea water and the consequent
availability of unlimited social power was a possibility only decades away.
The combination was irresistible.
PAGE 05
Silent Weapons for Quiet Wars
Although the silent weapons system was nearly exposed 13 years later, the evolution of
the new weapon-system has never suffered any major setbacks.
This volume marks the 25th anniversary of the beginning of the Quiet War. Already this
domestic war has had many victories on many fronts throughout the world.
Political Introduction
In 1954 it was well recognized by those in positions of authority that it was only a matter
of time, only a few decades, before the general public would be able to grasp and upset
the cradle of power, for the very elements of the new silent-weapon technology were as
accessible for a public utopia as they were for providing a private utopia.
The issue of primary concern that of dominance, revolved around the subject of the
energy sciences.
Energy
Energy is recognized as the key to all activity on earth. Natural science is the study of the
sources and control of natural energy, and social science, theoretically expressed as
economics, is the study of the sources and control of social energy. Both are bookkeeping
systems: mathematics. Therefore, mathematics is the primary energy science. And the
bookkeeper can be king if the public can be kept ignorant of the methodology of the
bookkeeping.
All science is merely a means to an end. The means is knowledge. The end is control.
Beyond this remains only one issue: Who will be the beneficiary?
In 1954 this was the issue of primary concern. Although the so-called “moral issues”
were raised, in view of the law of natural selection [1] it was agreed that a nation or world
of people who will not use their intelligence are no better than animals who do not have
intelligence. Such people are beasts of burden and steaks on the table by choice and
consent.
Consequently, in the interest of future world order, peace, and tranquility, it was decided
to privately wage a quiet war against the American public with an ultimate objective of
permanently shifting the natural and social energy (wealth) of the undisciplined and
irresponsible many into the hands of the self-disciplined, responsible, and worthy few.
In order to implement this objective, it was necessary to create, secure, and apply new
weapons which, as it turned out, were a class of weapons so subtle and sophisticated in
their principle of operation and public appearance as to earn for themselves the name
“silent weapons”.
[1 This concept was never more than a questionable theory of elitist Charles Darwin]
PAGE 06
Silent Weapons for Quiet Wars
In conclusion, the objective of economic research, as conducted by the magnates of
capital (banking) and the industries of commodities (goods) and services, is the
establishment of an economy which is totally predictable and manipulatable.
In order to achieve a totally predictable economy, the low-class elements of society must
be brought under total control, i.e., must be housebroken, trained, and assigned a yoke
and long-term social duties from a very early age, before they have an opportunity to
question the propriety of the matter. In order to achieve such conformity, the lower-class
family unit must be disintegrated by a process of increasing preoccupation of the parents
and the establishment of government-operated day-care centers for the occupationally
orphaned children.
The quality of education given to the lower class must be of the poorest sort, so that the
moat of ignorance isolating the inferior class from the superior class is and remains
incomprehensible to the inferior class. With such an initial handicap, even bright lower
class individuals have little if any hope of extricating themselves from their assigned lot
in life. This form of slavery is essential to maintain some measure of social order, peace,
and tranquility for the ruling upper class.
Descriptive Introduction of the Silent Weapon
Everything that is expected from an ordinary weapon is expected from a silent weapon by
its creators, but only in its own manner of functioning.
It shoots situations, instead of bullets; propelled by data processing, instead of chemical
reaction (explosion); originating from bits of data, instead of grains of gunpowder; from a
computer, instead of a gun; operated by a computer programmer, instead of a marksman;
under the orders of a banking magnate, instead of a military general.
It makes no obvious explosive noises, causes no obvious physical or mental injuries, and
does not obviously interfere with anyone’s daily social life.
Yet it makes an unmistakable “noise,” causes unmistakable physical and mental damage,
and unmistakably interferes with the daily social life, i.e., unmistakable to a trained
observer, one who knows what to look for.
The public cannot comprehend this weapon, and therefore cannot believe that they are
being attacked and subdued by a weapon.
The public might instinctively feel that something is wrong, but that is because of the
technical nature of the silent weapon, they cannot express their feeling in a rational way,
or handle the problem with intelligence. Therefore, they do not know how to cry for help,
and do not know how to associate with others to defend themselves against it.
PAGE 07
Silent Weapons for Quiet Wars
When a silent weapon is applied gradually, the public adjusts/adapts to its presence and
learns to tolerate its encroachment on their lives until the pressure (psychological via
economic) becomes too great and they crack up.
Therefore, the silent weapon is a type of biological warfare. It attacks the vitality,
options, and mobility of the individuals of a society by knowing, understanding,
manipulating, and attacking their sources of natural and social energy, and their physical,
mental, and emotional strengths and weaknesses.
Theoretical Introduction
Give me control over a nation’s currency, and I care not who makes its laws.
— Mayer Amshel Rothschild (1743-1812)
Today’s silent weapons technology is an outgrowth of a simple idea discovered,
succinctly expressed, and effectively applied by the quoted Mr. Mayer Amschel
Rothschild. Mr. Rothschild discovered the missing passive component of economic
theory known as economic inductance. He, of course, did not think of his discovery in
these 20th-century terms, and, to be sure, mathematical analysis had to wait for the
Second Industrial Revolution, the rise of the theory of mechanics and electronics, and
finally, the invention of the electronic computer before it could be effectively applied in
the control of the world economy.
General Energy Concepts
In the study of energy systems, there always appears three elementary concepts. These
are potential energy, kinetic energy, and energy dissipation. And corresponding to these
concepts, there are three idealized, essentially pure physical counterparts called passive
components.
(1) In the science of physical mechanics, the phenomenon of potential energy is
associated with a physical property called elasticity or stiffness, and can be represented
by a stretched spring. In electronic science, potential energy is stored in a capacitor
instead of a spring. This property is called capacitance instead of elasticity or stiffness.
(2) In the science of physical mechanics, the phenomenon of kinetic energy is
associated with a physical property called inertia or mass, and can be represented by a
mass or a flywheel in motion.
In electronic science, kinetic energy is stored in an inductor (in a magnetic field)
instead of a mass. This property is called inductance instead of inertia.
PAGE 08
Silent Weapons for Quiet Wars
(3) In the science of physical mechanics, the phenomenon of energy dissipation is
associated with a physical property called friction or resistance, and can be represented
by a dashpot or other device which converts energy into heat. In electronic science,
dissipation of energy is performed by an element called either a resistor or a conductor,
the term “resistor” being the one generally used to describe a more ideal device (e.g.,
wire) employed to convey electronic energy efficie ntly from one location to another. The
property of a resistance or conductor is measured as either resistance or conductance
reciprocals.
In economics these three energy concepts are associated with:
- Economic Capacitance – Capital (money, stock/inventory, investments in buildings
and durables, etc.) - Economic Conductance – Goods (production flow coefficients)
- Economic Inductance – Services (the influence of the population of industry on
output)
All of the mathematical theory developed in the study of one energy system (e.g.,
mechanics, electronics, etc.) can be immediately applied in the study of any other energy
system (e.g., economics).
Mr. Rothschild’s Energy Discovery
What Mr. Rothschild [2] had discovered was the basic principle of power, influence, and
control over people as applied to economics. That principle is “when you assume the
appearance of power, people soon give it to you.”
Mr. Rothschild had discovered that currency or deposit loan accounts had the required
appearance of power that could be used to induce people (inductance, with people
corresponding to a magnetic field) into surrendering their real wealth in exchange for a
promise of greater wealth (instead of real compensation). They would put up real
collateral in exchange for a loan of promissory notes. Mr. Rothschild found that he could
issue more notes than he had backing for, so long as he had someone’s stock of gold as a
persuader to show his customers.
Mr. Rothschild loaned his promissory notes to individuals and to governments. These
would create overconfidence. Then he would make money scarce, tighten control of the
system, and collect the collateral through the obligation of contracts. The cycle was then
repeated. These pressures could be used to ignite a war. Then he would control the
availability of currency to determine who would win the war. That government which
agreed to give him control of its economic system got his support.
Collection of debts was guaranteed by economic aid to the enemy of the debtor. The
profit derived from this economic methodology made Mr. Rothschild all the more able to
expand his wealth. He found that the public greed would allow currency to be printed by
[2 Read The Synagogue of Satan by Andrew Hitchcock to discover the truth about Mr. Rothschild.]
PAGE 09
Silent Weapons for Quiet Wars
government order beyond the limits (inflation) of backing in precious metal or the
production of goods and services.
Apparent Capital as “Paper” Inductor
In this structure, credit, presented as a pure element called “currency,” has the appearance
of capital, but is in effect negative capital. Hence, it has the appearance of service, but is
in fact, indebtedness or debt. It is therefore an economic inductance instead of an
economic capacitance, and if balanced in no other way, will be balanced by the negation
of population (war, genocide). The total goods and services represent real capital called
the gross national product, and currency may be printed up to this level and still represent
economic capacitance; but currency printed beyond this level is subtractive, represents
the introduction of economic inductance, and constitutes notes of indebtedness.
War is therefore the balancing of the system by killing the true creditors (the public
which we have taught to exchange true value for inflated currency) and falling back on
whatever is left of the resources of nature and regeneration of those resources.
Mr. Rothschild had discovered that currency gave him the power to rearrange the
economic structure to his own advantage, to shift economic inductance to those economic
positions, which would encourage the greatest economic instability and oscillation.
The final key to economic control had to wait until there was sufficient data and highspeed
computing equipment to keep close watch on the economic oscillations created by
price shocking and excess paper energy credits – paper inductance/inflation .
Breakthrough
The aviation field provided the greatest evolution in economic engineering by way of the
mathematical theory of shock testing. In this process, a projectile is fired from an
airframe on the ground and the impulse of the recoil is monitored by vibration
transducers connected to the airframe and wired to chart recorders.
By studying the echoes or reflections of the recoil impulse in the airframe, it is possible
to discover critical vibrations in the structure of the airframe which either vibrations of
the engine or aeolian vibrations of the wings, or a combination of the two, might
reinforce resulting in a resonant self-destruction of the airframe in flight as an aircraft.
From the standpoint of engineering, this means that the strengths and weaknesses of the
structure of the airframe in terms of vibrational energy can be discovered and
manipulated.
Application in Economics
To use this method of airframe shock testing in economic engineering, the prices of
commodities are shocked, and the public consumer reaction is monitored. The resulting
PAGE 10
Silent Weapons for Quiet Wars
echoes of the economic shock are interpreted theoretically by computers and the psychoeconomic
structure of the economy is thus discovered. It is by this process that partial
differential and difference matrices are discovered that define the family household and
make possible its evaluation as an economic industry (dissipative consumer structure).
Then the response of the household to future shocks can be predicted and manipulated,
and society becomes a well-regulated animal with its reins under the control of a
sophisticated computer-regulated social energy bookkeeping system.
Eventually every individual element of the structure comes under computer control
through a knowledge of personal preferences, such knowledge guaranteed by computer
association of consumer preferences (universal product code, UPC; zebra-striped pricing
codes on packages) with identified consumers (identified via association with the use of a
credit card and later a permanent “tattooed” body number invisible under normal ambient
illumination).
Summary
Economics is only a social extension of a natural energy system. It, also, has its three
passive components. Because of the distribution of wealth and the lack of communication
and lack of data, this field has been the last energy field for which a knowledge of these
three passive components has been developed.
Since energy is the key to all activity on the face of the earth, it follows that in order to
attain a monopoly of energy, raw materials, goods, and services and to establish a world
system of slave labor, it is necessary to have a first strike capability in the field of
economics. In order to maintain our position, it is necessary that we have absolute first
knowledge of the science of control over all economic factors and the first experience at
engineering the world economy.
In order to achieve such sovereignty, we must at least achieve this one end: that the
public will not make either the logical or mathematical connection between economics
and the other energy sciences or learn to apply such knowledge.
This is becoming increasingly difficult to control because more and more businesses are
making demands upon their computer programmers to create and apply mathematical
models for the management of those businesses.
It is only a matter of time before the new breed of private programmer/economists will
catch on to the far-reaching implications of the work begun at Harvard in 1948. The
speed with which they can communicate their warning to the public will largely depend
upon how effective we have been at controlling the media, subverting education, and
keeping the public distracted with matters of no real importance.
The Economic Model
PAGE 11
Silent Weapons for Quiet Wars
Economics, as a social energy science has as a first objective the description of the
complex way in which any given unit of resources is used to satisfy some economic want.
(Leontief Matrix). This first objective, when it is extended to get the most product from
the least or limited resources, comprises that objective of general military and industrial
logistics known as Operations Research. (See simplex method of linear programming.)
The Harvard Economic Research Project (1948-) was an extension of World War II
Operations Research. Its purpose was to discover the science of controlling an economy:
at first the American economy, and then the world economy. It was felt that with
sufficient mathematical foundation and data, it would be nearly as easy to predict and
control the trend of an economy as to predict and control the trajectory of a projectile.
Such has proven to be the case. Moreover, the economy has been transformed into a
guided missile on target.
The immediate aim of the Harvard project was to discover the economic structure, what
forces change that structure, how the behavior of the structure can be predicted, and how
it can be manipulated. What was needed was a well-organized knowledge of the
mathematical structures and interrelationships of investment, production, distribution,
and consumption.
To make a short story of it all, it was discovered that an economy obeyed the same laws
as electricity and that all of the mathematical theory and practical and computer knowhow
developed for the electronic field could be directly applied in the study of
economics. This discovery was not openly declared, and its more subtle implications
were and are kept a closely guarded secret, for example that in an economic model,
human life is measured in dollars, and that the electric spark generated when opening a
switch connected to an active inductor is mathematically analogous to the initiation of
war.
The greatest hurdle which theoretical economists faced was the accurate description of
the household as an industry. This is a challenge because consumer purchases are a
matter of choice which in turn is influenced by income, price, and other economic
factors.
This hurdle was cleared in an indirect and statistically approximate way by an application
of shock testing to determine the current characteristics, called current technical
coefficients, of a household industry
Finally, because problems in theoretical electronics can be translated very easily into
problems of theoretical electronics, and the solution translated back again, it follows that
only a book of language translation and concept definition needed to be written for
economics. The remainder could be gotten from standard works on mathematics and
electronics. This makes the publication of books on advanced economics unnecessary,
and greatly simplifies project security.
Industrial Diagrams
PAGE 12
Silent Weapons for Quiet Wars
An ideal industry is defined as a device which receives value from other industries in
several forms and converts them into one specific product for sales and distribution to
other industries. It has several inputs and one output. What the public normally thinks of
as one industry is really an industrial complex, where several industries under one roof
produce one or more products.
A pure (single output) industry can be represented oversimply by a circuit block as
follows: Ex !
The flow of product from industry #1 (supply) to industry #2 (demand) is denoted by - The total flow out of industry “K” is denoted by Ik (sales, etc.).
A three industry network can be diagrammed as follows:
A node is a symbol of collection and distribution of flow. Node #3 receives from industry
3 and distributes to industries #1 and #3. If industry #3 manufactures chairs, then a flow
from industry #3 back to industry #3 simply indicates that industry #3 is using part of its
own output product, for example, as office furniture. Therefore the flow may be
summarized by the equations:
PAGE 13
Silent Weapons for Quiet Wars
Three Industrial Classes
Industries fall into three categories or classes by type of output:
Class #1 – Capital (resources)
Class #2 – Goods (commodities or use – dissipative)
Class #3 – Services (action of population
Class #1 industries exist at three levels:
(1) Nature – sources of energy and raw materials.
(2) Government – printing of currency equal to the gross national product (GNP), and
extension of currency in excess of GNP.
(3) Banking – loaning of money for interest, and extension (inflation/counterfeiting) of
economic value through the deposit loan accounts.
Class #2 industries exist as producers of tangible or consumer (dissipated) products. This
sort of activity is usually recognized and labeled by the public as “industry.”
Class #3 industries are those which have service rather than a tangible product as their
output. These industries are called (1) households, and (2) governments. Their output is
human activity of a mechanical sort, and their basis is population.
Aggregation
The whole economic system can be represented by a three-industry model if one allows
the names of the outputs to be (1) capital, (2) goods, and (3) services. The problem with
this representation is that it would not show the influence, say, the textile industry on the
ferrous metal industry. This is because both the textile industry and the ferrous metal
industry would be contained within a single classification called the “goods industry” and
by this process of combining or aggregating these two industries under one system block
they would lose their economic individuality.
The E-Model
PAGE 14
Silent Weapons for Quiet Wars
A national economy consists of simultaneous flows of production, distribution,
consumption, and investment. If all of these elements including labor and human
functions are assigned a numerical value in like units of measure, say, 1939 dollars, then t
his flow can be further represented by a current flow in an electronic circuit, and its
behavior can be predicted and manipulated with useful precision.
The three ideal passive energy components of electronics, the capacitor, the resistor, and
the inductor correspond to the three ideal passive energy components of economics called
the pure industries of capital, goods, and services, respectively:
∗ Economic capacitance represents the storage of capital in one form or another.
∗ Economic conductance represents the level of conductance of materials for the
production of goods.
∗ Economic inductance represents the inertia of economic value in motion. This is a
population phenomenon known as services.
Economic Inductance
An electrical inductor (e.g., a coil or wire) has an electric current as its primary
phenomenon and a magnetic field as its secondary phenomenon (inertia). Corresponding
to this, an economic inductor has a flow of economic value as its primary phenome non
and a population field as its secondary field phenomenon of inertia. When the flow of
economic value (e.g., money) diminishes, the human population field collapses in order
to keep the economic value (money) flowing (extreme case – war).
This public inertia is a result of consumer buying habits, expected standard of living, etc.,
and is generally a phenomenon of self-preservation.
Inductive Factors to Consider
(1) Population
(2) Magnitude of the economic activities of the government
(3) The method of financing these government activities (See Peter-Paul Principle –
inflation of the currency.)
Translation
(a few examples will be given)
- Charge: Coulombs Dollars (1939)
- Flow/Current: Amperes (coulombs/ second) Dollars of flow per year
- Motivating Force: Volts; Dollars (output) demand
- Conductance: Amperes per volt; Dollars of flow per year per dollar demand
- Capacitance: Coulombs per volt: Dollars of production inventory/ stocks per
dollar demand
PAGE 15
Silent Weapons for Quiet Wars
Time Flow Relationships and Self-Destructive Oscillations
An ideal industry may be symbolized electronically in various ways. The simplest way is
to represent a demand by a voltage and a supply by a current. When this is done, the
relationship between the two becomes what is called an admittance, which can result
from three economic factors: (1) foresight flow, (2) present flow, and (3) hindsight flow.
- Foresight flow is the result of that property of living entities to cause energy (food) to
be stored for a period of low energy (e.g., a winter season). It consists of demands made
upon an economic system for that period of low energy (winter season).
In a production industry it takes several forms, one of which is known as production
stock or inventory. In electronic symbology this specific industry demand (a pure capital
industry) is represented by capacitance and the stock or resource is represented by a
stored charge. Satisfaction of an industry demand suffers a lag because of the loading
effect of inventory priorities. - Present flow ideally involves no delays. It is, so to speak, input today for output
today, a “hand to mouth” flow. In electronic symbology, this specific industry demand (a
pure us industry) is represented by a conductance which is then a simple economic valve
(a dissipative element). - Hindsight flow is known as habit or inertia. In electronics this phenomenon is the
characteristic of an inductor (economic analog = a pure service industry) in which a
current flow (economic analog = flow of money) creates a magnetic field (economic
analog = active human population) which, if the current (money flow) begins to diminish,
collapse (war) to maintain the current (flow of money – energy).
Other large alternatives to war as economic inductors or economic flywheels are an openended
social welfare program, or an enormous (but fruitful) open-ended space program.
The problem with stabilizing the economic system is that there is too much demand on
account of (1) too much greed and (2) too much population.
This creates excessive economic inductance which can only be balanced with economic
capacitance (true resources or value – e.g., in goods or services).
The social welfare program is nothing more than an open-ended credit balance system
which creates a false capital industry to give nonproductive people a roof over their heads
and food in their stomachs. This can be useful, however, because the recipients become
state property in return for the “gift,” a standing army for the elite. For he who pays the
piper picks the tune.
PAGE 16
Silent Weapons for Quiet Wars
Those who get hooked on the economic drug must go to the elite for a fix. In this, the
method of introducing large amounts of stabilizing capacitance is by borrowing on the
future “credit” of the world. This is a fourth law of motion – onset, and consists of
performing an action and leaving the system before the reflected reaction returns to the
point of action – a delayed reaction.
The means of surviving the reaction is by changing the system before the reaction can
return. By this means, politicians become more popular in their own time and the public
pays later. In fact, the measure of such a politician is the delay time.
The same thing is achieved by a government by printing money beyond the limit of the
gross national product, and economic process called inflation. This puts a large quantity
of money into the hands of the public and maintains a balance against their greed, creates
a false self-confidence in them and, for awhile, stays the wolf from the door.
They must eventually resort to war to balance the account, because war ultimately is
merely the act of destroying the creditor, and the politicians are the publicly hired hit men
that justify the act to keep the responsibility and blood off the public conscience. (See
section on consent factors and social-economic structuring.)
If the people really cared about their fellow man, they would control their appetites
(greed, procreation, etc.) so that they would not have to operate on a credit or welfare
social system which steals from the worker to satisfy the bum.
Since most of the general public will not exercise restraint, there are only two alternatives
to reduce the economic inductance of the system. - Let the populace bludgeon each other to death in war, which will only result in a
total destruction of the living earth. - Take control of the world by the use of economic “silent weapons” in a form of
“quiet warfare” and reduce the economic inductance of the world to a safe level by
a process of benevolent slavery and genocide.
The latter option has been taken as the obviously better option. At this point it should be
crystal clear to the reader why absolute secrecy about the silent weapons is necessary.
The general public refuses to improve its own mentality and its faith in its fellow man. It
has become a herd of proliferating barbarians, and, so to speak, a blight upon the face of
the earth.
They do not care enough about economic science to learn why they have not been able to
avoid war despite religious morality, and their religious or self-gratifying refusal to deal
with earthly problems renders the solution of the earthly problem unreachable to them.
PAGE 17
Silent Weapons for Quiet Wars
It is left to those few who are truly willing to think and survive as the fittest to survive, to
solve the problem for themselves as the few who really care. Otherwise, exposure of the
silent weapon would destroy our only hope of preserving the seed of the future true
humanity.
Industry Equivalent Circuits
The industry ‘Q’ can be given a block symbol as follows:
Terminals #1 through #m are connected directly to the outputs of industries #1 and #m,
respectively.
The equivalent circuit of industry ‘Q’ is given as follows:
Characteristics:
PAGE 18
Silent Weapons for Quiet Wars
All inputs are at zero volts.
A – Amplifier – causes output current IQ to be represented by a voltage EQ. Amplifier
delivers sufficient current at EQ to drive all loads Y10 through YmQ and sink all currents
i1Q through imQ.
The unit transconductance amplifier AQ is constructed as follows:
- Arrow denotes the direction of the flow of capital, goods, and services. The total
demand is given as EQ, where EQ=IQ.
The coupling network YPQ symbolizes the demand which industry Q makes on industry
P. the connective admittance YPQ is called the ‘technical coefficient’ of the industry Q
stating the demand of industry Q, called the industry of use, for the output in capital,
goods, or services of industry P called the industry of origin.
PAGE 19
Silent Weapons for Quiet Wars
The flow of commodities from industry P to industry Q is given by iPQ evaluated by the
formula:
iPQ = YPQ* EQ.
When the admittance YPQ is a simple conductance, this formula takes on the common
appearance of Ohm’s Law,
iPQ = gPQ* IQ.
The interconnection of a three industry system can be diagrammed as follows. The blocks
of the industry diagram can be opened up revealing the technical coefficients, and a much
simpler format. The equations of flow are given as follows:
Stages of Schematic Simplification
PAGE 20
Silent Weapons for Quiet Wars
Generalization
All of this may now be summarized.
Let Ij represent the output of industry j, and - ijk, the amount of the product of industry j absorbed annually by industry k, and
- ijo, the amount of the same product j made available for ‘outside’ use. Then
Substituting the technical coefficiences, yjk
which is the general equation of every admittance in the industry circuit.
Final Bill of Goods
is called the final bill of goods or the bill of final demand, and is zero when the system
can be closed by the evaluation of the technical coefficients of the ‘non-productive’
industries, government and households. Households may be regarded as a productive
industry with labor as its output product.
PAGE 21
Silent Weapons for Quiet Wars
The Technical Coefficients
The quantities yjk are called the technical coefficients of the industrial system. They are
admittances and can consist of any combination of three passive parameters,
conductance, capacitance, and inductance. Diodes are used to make the flow
unidirectional and point against the flow. - gjk = economic conductance, absorption coefficient
- yjk = economic capacitance, capital coefficient
- Ljk = economic inductance, human activity coefficient
Types of Admittances
PAGE 22
Silent Weapons for Quiet Wars
The Household Industry
The industries of finance (banking), manufacturing, and government, real counterparts of
the pure industries of capital, goods, and services, are easily defined because they are
generally logically structured. Because of this their processes can be described
PAGE 23
Silent Weapons for Quiet Wars
mathematically and their technical coefficients can be easily deduced. This, however, is
not the case with the service industry known as the household industry.
Household Models
When the industry flow diagram is represented by a 2-block system of households on the
right and all other industries on the left, the following results:
The arrows from left to right labeled A, B, C, etc., denote flow of economic value from
the industries in the left hand block to the industry in the right hand block called
‘households’. These may be thought of as the monthly consumer flows of the following
commodities. A – alcoholic beverages, B – beef, C – coffee, . . . . , U – unknown, etc. . .
The problem which a theoretical economist faces is that the consumer preferences of any
household is not easily predictable and the technical coefficients of any one household
tend to be a nonlinear, very complex, and variable function of income, prices, etc.
Computer information derived from the use of the universal product code in conjuction
with credit-card purchase as an individual household identifier could change this state of
affairs, but the U.P.C. method is not yet available on a national or even a significant
regional scale. To compensate for this data deficiency, an alternate indirect approach of
analysis has been adopted known as economic shock testing. This method, widely used in
the aircraft manufacturing industry, develops an aggregate statistical sort of data.
Applied to economics, this means that all of the households in one region or in the
whole nation are studied as a group or class rather than individually, and the mass
behavior rather than the individual behavior is used to discover useful estimates of
PAGE 24
Silent Weapons for Quiet Wars
the technical coefficients governing the economic structure of the hypothetical singlehousehold
industry…
Notice in the industry flow diagram that the values for the flows A, B, C, etc. are
accessible to measurement in terms of selling prices and total sales of commodities.
One method of evaluating the technical coefficients of the household industry depends
upon shocking the prices of a commodity and noting the changes in the sales of all of the
commodities.
Economic Shock Testing
In recent times, the application of Operations Research to the study of the public
economy has been obvious for anyone who understands the principles of shock testing.
In the shock testing of an aircraft airframe, the recoil impulse of firing a gun mounted on
that airframe causes shock waves in that structure which tell aviation engineers the
conditions under which some parts of the airplane or the whole airplane or its wings will
start to vibrate or flutter like a guitar string, a flute reed, or a tuning fork, and disintegrate
or fall apart in flight.
Economic engineers achieve the same result in studying the behavior of the economy and
the consumer public by carefully selecting a staple commodity such as beef, coffee,
gasoline, or sugar, and then causing a sudden change or shock in its price or availability,
thus kicking everybody’s budget and buying habits out of shape.
They then observe the shock waves which result by monitoring the changes in
advertising, prices, and sales of that and other commodities.
The objective of such studies is to acquire the know-how to set the public economy into a
predictable state of motion or change, even a controlled self-destructive state of motion
which will convince the public that certain “expert” people should take control of the
money system and reestablish security (rather than liberty and justice) for all. When the
subject citizens are rendered unable to control their financial affairs, they, of course,
become totally enslaved, a source of cheap labor.
Not only the prices of commodities, but also the availability of labor can be used as the
means of shock testing. Labor strikes deliver excellent tests shocks to an economy,
especially in the critical service areas of trucking (transportation), communication, public
utilities (energy, water, garbage collection), etc.
PAGE 25
Silent Weapons for Quiet Wars
By shock testing, it is found that there is a direct relationship between the availability of
money flowing in an economy and the real psychological outlook and response of masses
of people dependent upon that availability.
For example, there is a measurable quantitative relationship between the price of gasoline
and the probability that a person would experience a headache, feel a need to watch a
violent movie, smoke a cigarette, or go to a tavern for a mug of beer.
It is most interesting that, by observing and measuring the economic models by which the
public tries to run from their problems and escape from reality, and by applying the
mathematical theory of Operations Research, it is possible to program computers to
predict the most probable combination of created events (shocks) which will bring about
a complete control and subjugation of the public through a subversion of the public
economy (by shaking the plum tree).
Introduction to the Theory of Economic Shock Testing
Let the prices and total sales of commodities be given and symbolized as follows:
Commodities Price Function Total Sales
alcoholic beverages A fA
beef B fB
coffee C fC
gasoline G fG
sugar S fS
tobacco T fT
unknown balance U fU
Let us assume a simple economic model in which the total number of important (staple)
commodities are represented as beef, gasoline, and an aggregate of all other staple
commodities which we will call the hypothetical miscellaneous staple commodity ‘M’
(e.g., M is an aggregate of C, S, T, U, etc.).
Example of Shock Testing
PAGE 26
Silent Weapons for Quiet Wars
Assume that the total sales, P, of petroleum products can be described by the linear
function of the quantities B, G, and M, which are functions of the prices of those
respective commodities.
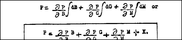
P = aPG B + aPG G + aPM M
Then where B, G, and M are functions of the prices of beef, gasoline, and miscellaneous,
respectively, and aPB, aPG, and aPM are constant coefficients defining the amount by
which each of the functions B, G, and M affect the sales, P, of petroleum products. We
are assuming that B, G, and M are variables independent of each other.
If the availability or price of gasoline is suddenly changed, then G must be replaced by G - G. This causes a change in the petroleum sales from P to P + P. Also we will assume
that B and M remain constant when G changes to G + G.
(P + P) = aPB B + aPG (G + G) + aPMM.
Expanding upon this expression, we get
P + P = aPB B + aPG G + aPG G + aPM M
and subtracting the original value of P we get for the change in P
Change in P = P = aPG G
Dividing by G we get
aPG = P / G .
This is a rate of change in P due only to an isolated change in G, G.
In general, ajk is the partial rate of change in the sales effect j due to a change in the
causal price function of commodity k. If the interval of time were infinitesimal, this
expression would be reduced to the definition of the total differential of a function, P.
PAGE 27
Silent Weapons for Quiet Wars
PAGE 28
Silent Weapons for Quiet Wars
When the price of gasoline is shocked, all of the coefficients with round G (2G) in the
denominator are evaluated at the same time. If B, G, and M were independent, and
sufficient for description of the economy, then three shock tests would be necessary to
evaluate the system.
There are other factors which may be represented the same way.
For example, the tendency of a docile sub-nation to withdraw under economic pressure
may be given by
where G is the price of gasoline, WP is the dollars spent per unit time (referenced to say
1939) for war production during ‘peace’ time, etc. These quantities are presented to a
computer in matrix format as follows:
and
X1 = G Y1 = P – KP
X2 = B Y2 = F – KF
X3 = etc. Y3 = etc.
Finally, inverting this matrix, i.e., solving for the Xk terms of the Yj, we get, say,
[bkj] [Yj ] = [Xk]
PAGE 29
Silent Weapons for Quiet Wars
This is the result into which we substitute to get that set of conditions of prices of
commodities, bad news on TV, etc., which will deliver a collapse of public morale ripe
for take over.
Once the economic price and sales coefficients ajk and bkj are determined, they may be
translated into the technical supply and demand coefficients gjk, Cjk, and 1/Ljk.
Shock testing of a given commodity is then repeated to get the time rate of change of
these technical coefficients.
Introduction to Economic Amplifiers
Economic amplifiers are the active components of economic engineering. The basic
characteristic of any amplifier (mechanical, electrical, or economic) is that it receives an
input control signal and delivers energy from an independent energy source to a specified
output terminal in a predictable relationship to that input control signal.
The simplest form of an economic amplifier is a device called advertising.
If a person is spoken to by a T.V. advertiser as if he were a twelve-year-old, then, due to
suggestibility, he will, with a certain probability, respond or react to that suggestion with
the uncritical response of a twelve-year-old and will reach in to his economic reservoir
and deliver its energy to buy that product on impulse when he passes it in the store.
An economic amplifier may have several inputs and output. Its response might be
instantaneous or delayed. Its circuit symbol might be a rotary switch if its options are
exclusive, qualitative, “go” or “no-go”, or it might have its parametric input/ output
relationships specified by a matrix with internal energy sources represented.
Whatever its form might be, its purpose is to govern the flow of energy from a source to
an output sink in direct relationship to an input control signal. For this reason, it is called
an active circuit element or component.
Economic Amplifiers fall into classes called strategies, and, in comparison with
electronic amplifiers, the specific internal functions of an economic amplifier are called
logistical instead of electrical.
Therefore, economic amplifiers not only deliver power gain but also, in effect, are used to
cause changes in the economic circuitry.
In the design of an economic amplifier we must have some idea of at least five functions,
which are:
PAGE 30
Silent Weapons for Quiet Wars
(1) the available input signals,
(2) the desired output-control objectives,
(3) the strategic objective,
(4) the available economic power sources,
(5) the logistical options.
The process of defining and evaluating these factors and incorporating the economic
amplifier into an economic system has been popularly called game theory.
The design of an economic amplifier begins with a specification of the power level of the
output, which can range from personal to national. The second condition is accuracy of
response, i.e., how accurately the output action is a function of the input commands. High
gain combined with strong feedback helps to deliver the required precision.
Most of the error will be in the input data signal. Personal input data tends to be
specified, while national input data tends to be statistical.
Short List of Inputs
Questions to be answered: - what
- where
- why
- when
- how
- who
General sources of information: - telephone taps
- analysis of garbage
- surveillance
- behavior of children in school
Standard of living by: - food
- shelter
- clothing
- transportation
Social contacts:
PAGE 31
Silent Weapons for Quiet Wars - telephone – itemized record of calls
- family – marriage certificates, birth certificates, etc.
- friends, associates, etc.
- memberships in organizations
- political affiliation
The Personal Paper Trail
Personal buying habits, i.e., personal consumer preferences: - checking accounts
- credit-card purchases
- “tagged” credit-card purchases – the credit-card purchase of products bearing the
U.P.C. (Universal Product Code)
Assets: - checking accounts
- savings accounts
- real estate
- business
- automobile, etc.
- safety deposit at bank
- stock market
Liabilities: - creditors
- enemies (see – legal)
- loans
Government sources (ploys)*: - Welfare
- Social Security
- U.S.D.A. surplus food
- doles
- grants
- subsidies
- Principle of this ploy — the citizen will almost always make the collection of
information easy if he can operate on the “free sandwich principle” of “eat now, and pay
later.”
Government sources (via intimidation):
PAGE 32
Silent Weapons for Quiet Wars - Internal Revenue Service
- OSHA
- Census
- etc.
Other government sources — surveillance of U.S. mail.
Habit Patterns — Programming
Strengths and weaknesses: - activities (sports, hobbies, etc.)
- see “legal” (fear, anger, etc. — crime record)
- hospital records (drug sensitivities, reaction to pain, etc.)
- psychiatric records (fears, angers, disgusts, adaptability, reactions to stimuli,
violence,
suggestibility or hypnosis, pain, pleasure, love, and sex)
Methods of coping — of adaptability — behavior: - consumption of alcohol
- consumption of drugs
- entertainment
- religious factors influencing behavior
- other methods of escaping from reality
Payment modus operandi (MO) — pay on time, etc.: - payment of telephone bills
- energy purchases
- water purchases
- repayment of loans
- house payments
- automobile payments
- payments on credit cards
Political sensitivity: - beliefs
- contacts
- position
- strengths/weaknesses
- projects/activities
Legal inputs — behavioral control (Excuses for investigation, search, arrest, or
employment of force to modify behavior)
PAGE 33
Silent Weapons for Quiet Wars - court records
- police records — NCIC
- driving record
- reports made to police
- insurance information
- anti-establishment acquaintances
National Input Information
Business sources (via I.R.S., etc): - prices of commodities
- sales
- investments in
o stocks/inventory
o production tools and machinery
o buildings and improvements
o the stock market
Banks and credit bureaus: - credit information
- payment information
Miscellaneous sources: - polls and surveys
- publications
- telephone records
- energy and utility purchases
Short List of Outputs
Outputs — create controlled situations — manipulation of the economy, hence society —
control by control of compensation and income.
Sequence:
- allocates opportunities
- destroys opportunities
- controls the economic environment
- controls the availability of raw materials
- controls capital.
- controls bank rates
- controls the inflation of the currency
- controls the possession of property
- controls industrial capacity
PAGE 34
Silent Weapons for Quiet Wars - controls manufacturing
- controls the availability of goods (commodities).
- controls the prices of commodities.
- controls services, the labor force, etc.
- controls payments to government officials.
- controls the legal functions.
- controls the personal data files — uncorrectable by the party slandered.
- controls advertising.
- controls media contact.
- controls material available for T.V. viewing
- disengages attention from real issues.
- engages emotions.
- creates disorder, chaos, and insanity.
- controls design of more probing tax forms.
- controls surveillance.
- controls the storage of information.
- develops psychological analyses and profiles of individuals.
- controls legal functions [repeat of 15]
- controls sociological factors.
- controls health options.
- preys on weakness.
- cripples strengths.
- leaches wealth and substance.
Table of Strategies
Do This To Get This
Keep the public ignorant Less public organization
Maintain access to control point for
feedback
Required reaction to outputs (prices, sales)
Create preoccupation Lower defense
Attack the family unit Control of the education of the young
Give less cash and more credit and doles More self-indulgence and more data
Attack the privacy of the church Destroy faith in this sort of government
Social conformity Computer programming simplicity
Minimize the tax protest Maximum economic data, minimum
enforcement problems
PAGE 35
Silent Weapons for Quiet Wars
Stabilize the consent Simplicity coefficients
Tighten control of variables Simpler computer input data – greater
predictability
Establish boundary conditions Problem simplicity/solutions of differential
and difference equations
Proper timing Less data shift and blurring
Maximize control Minimum resistance to control
Collapse of currency Destroy the faith of the American people in
each other
Diversion, the Primary Strategy
Experience has prevent that the simplest method of securing a silent weapon and gaining
control of the public is to keep the public undisciplined and ignorant of the basic system
principles on the one hand, while keeping them confused, disorganized, and distracted
with matters of no real importance on the other hand.
This is achieved by:
- disengaging their minds; sabotaging their mental activities; providing a low-quality
program of public education in mathematics, logic, systems design and economics;
and discouraging technical creativity. - engaging their emotions, increasing their self-indulgence and their indulgence in
emotional and physical activities, by:
ο unrelenting emotional affrontations and attacks (mental and emotional rape) by
way of constant barrage of sex, violence, and wars in the media – especially the
T.V. and the newspapers.
ο giving them what they desire – in excess – “junk food for thought” – and
depriving them of what they really need. - rewriting history and law and subjecting the public to the deviant creation, thus being
able to shift their thinking from personal needs to highly fabricated outside priorities.
These preclude their interest in and discovery of the silent weapons of social automation
technology.
PAGE 36
Silent Weapons for Quiet Wars
The general rule is that there is a profit in confusion; the more confusion, the more profit.
Therefore, the best approach is to create problems and then offer solutions.
Diversion Summary
Media: Keep the adult public attention diverted away from the real social issues, and
captivated by matters of no real importance.
Schools: Keep the young public ignorant of real mathematics, real economics, real law,
and real history.
Entertainment: Keep the public entertainment below a sixth-grade level.
Work: Keep the public busy, busy, busy, with no time to think; back on the farm with the
other animals.
Consent, the Primary Victory
A silent weapon system operates upon data obtained from a docile public by legal (but
not always lawful) force. Much information is made available to silent weapon systems
programmers through the Internal Revenue Service. (See Studies in the Structure of the
American Economy for an I.R.S. source list.)
This information consists of the enforced delivery of well-organized data contained in
federal and state tax forms, collected, assembled, and submitted by slave labor provided
by taxpayers and employers.
Furthermore, the number of such forms submitted to the I.R.S. is a useful indicator of
public consent, an important factor in strategic decision making. Other data sources are
given in the Short List of Inputs.
Consent Coefficients – numerical feedback indicating victory status. Psychological basis:
When the government is able to collect tax and seize private property without just
compensation, it is an indication that the public is ripe for surrender and is consenting to
enslavement and legal encroachment. A good and easily quantified indicator of harvest
time is the number of public citizens who pay income tax despite an obvious lack of
reciprocal or honest service from the government.
Amplification Energy Sources
The next step in the process of designing an economic amplifier is discovering the energy
sources. The energy sources which support any primitive economic system are, of course,
a supply of raw materials, and the consent of the people to labor and consequently
PAGE 37
Silent Weapons for Quiet Wars
assume a certain rank, position, level, or class in the social structure, i.e., to provide labor
at various levels in the pecking order.
Each class, in guaranteeing its own level of income, controls the class immediately below
it, hence preserves the class structure. This provides stability and security, but also
government from the top.
As time goes on and communication and education improve, the lower-class elements of
the social labor structure become knowledgeable and envious of the good things that the
upper-class members have. They also begin to attain a knowledge of energy systems and
the ability to enforce their rise through the class structure.
This threatens the sovereignty of the elite.
If this rise of the lower classes can be postponed long enough, the elite can achieve
energy dominance, and labor by consent no longer will hold a position of an essential
energy source.
Until such energy dominance is absolutely established, the consent of people to labor and
let others handle their affairs must be taken into consideration, since failure to do so
could cause the people to interfere in the final transfer of energy sources to the control of
the elite.
It is essential to recognize that at this time, public consent is still an essential key to the
release of energy in the process of economic amplification.
Therefore, consent as an energy release mechanism will now be considered.
Logistics
The successful application of a strategy requires a careful study of inputs, outputs, the
strategy connecting the inputs and the outputs, and the available energy sources to fuel
the strategy. This study is called logistics.
A logistical problem is studied at the elementary level first, and then levels of greater
complexity are studied as a synthesis of elementary factors.
This means that a given system is analyzed, i.e., broken down into its subsystems, and
these in turn are analyzed, until by this process, one arrives at the logistical “atom,” the
individual.
This is where the process of synthesis properly begins, at the time of birth of the
individual.
PAGE 38
Silent Weapons for Quiet Wars
The Artificial Womb
From the time a person leaves its mother’s womb, its every effort is directed towards
building, maintaining, and withdrawing into artificial wombs, various sorts of substitute
protective devices or shells.
The objective of these artificial wombs is to provide a stable environment for both stable
and unstable activity; to provide a shelter for the evolutionary processes of growth and
maturity – i.e., survival; to provide security for freedom and to provide defensive
protection for offensive activity.
This is equally true of both the general public and the elite. However, there is a definite
difference in the way each of these classes go about the solution of problems.
The Political Structure of a Nation – Dependency
The primary reason why the individual citizens of a country create a political structure is
a subconscious wish or desire to perpetuate their own dependency relationship of
childhood. Simply put, they want a human god to eliminate all risk from their life, pat
them on the head, kiss their bruises, put a chicken on every dinner table, clothe their
bodies, tuck them into bed at night, and tell them that everything will be alright when
they wake up in the morning.
This public demand is incredible, so the human god, the politician, meets incredibility
with incredibility by promising the world and delivering nothing. So who is the bigger
liar? the public? or the “godfather”?
This public behavior is surrender born of fear, laziness, and expediency. It is the basis of
the welfare state as a strategic weapon, useful against a disgusting public.
Action/Offense
Most people want to be able to subdue and/or kill other human beings which disturb their
daily lives, but they do not want to have to cope with the moral and religious issues
which such an overt act on their part might raise. Therefore, they assign the dirty work to
others (including their own children) so as to keep the blood off their hands. They rave
about the humane treatment of animals and then sit down to a delicious hamburger from a
whitewashed slaughterhouse down the street and out of sight. But even more hypocritical,
they pay taxes to finance a professional association of hit men collectively called
politicians, and then complain about corruption in government.
Responsibility
PAGE 39
Silent Weapons for Quiet Wars
Again, most people want to be free to do the things (to explore, etc.) but they are afraid to
fail.
The fear of failure is manifested in irresponsibility, and especially in delegating those
personal responsibilities to others where success is uncertain or carries possible or created
liabilities (law), which the person is not prepared to accept. They want authority (root
word – “author”), but they will not accept responsibility or liability. So they hire
politicians to face reality for them.
Summary
The people hire the politicians so that the people can:
(1) obtain security without managing it.
(2) obtain action without thinking about it.
(3) inflict theft, injury, and death upon others without having to contemplate either life
or death.
(4) avoid responsibility for their own intentions.
(5) obtain the benefits of reality and science without exerting themselves in the
discipline of facing or learning either of these things.
They give the politicians the power to create and manage a war machine:
(1) provide for the survival of the nation/womb.
(2) prevent encroachment of anything upon the nation/womb.
(3) destroy the enemy who threatens the nation/womb.
(4) destroy those citizens of their own country who do not conform for the sake of
stability of the nation/womb.
Politicians hold many quasi-military jobs, the lowest being the police which are soldiers,
the attorneys and C.P.A.s next who are spies and saboteurs (licensed), and the judges who
shout orders and run the closed union military shop for whatever the market will bear.
The generals are industrialists. The “presidential” level of commander-in-chief is shared
by the international bankers.
The people know that they have created this farce and financed it with their own taxes
(consent), but they would rather knuckle under than be the hypocrite.
Thus, a nation becomes divided into two very distinct parts, a docile sub-nation [great
silent majority] and a political sub-nation. The political sub-nation remains attached to
the docile sub-nation, tolerates it, and leaches its substance until it grows strong enough
to detach itself and then devour its parent.
System Analysis
PAGE 40
Silent Weapons for Quiet Wars
In order to make meaningful computerized economic decisions about war, the primary
economic flywheel, it is necessary to assign concrete logistical values to each element of
the war structure – personnel and material alike.
This process begins with a clear and candid description of the subsystems of such a
structure.
The Draft (As military service)
Few efforts of human behavior modification are more remarkable or more effective than
that of the socio-military institution known as the draft. A primary purpose of a draft or
other such institution is to instill, by intimidation, in the young males of a society the
uncritical conviction that the government is omnipotent. He is soon taught that a prayer is
slow to reverse what a bullet can do in an instant. Thus, a man trained in a religious
environment for eighteen years of his life can, by this instrument of the government, be
broken down, be purged of his fantasies and delusions in a matter of mere months. Once
that conviction is instilled, all else becomes easy to instill.
Even more interesting is the process by which a young man’s parents, who purportedly
love him, can be induced to send him off to war to his death. Although the scope of this
work will not allow this matter to be expanded in full detail, nevertheless, a coarse
overview will be possible and can serve to reveal those factors which must be included in
some numerical form in a computer analysis of social and war systems.
We begin with a tentative definition of the draft.
The draft (selective service, etc.) is an institution of compulsory collective sacrifice
and slavery, devised by the middle-aged and elderly for the purpose of pressing the
young into doing the public dirty work. It further serves to make the youth as guilty
as the elders, thus making criticism of the elders by the youth less likely
(Generational Stabilizer). It is marketed and sold to the public under the label of
“patriotic = national” service.
Once a candid economic definition of the draft is achieved, that definition is used to
outline the boundaries of a structure called a Human Value System, which in turn is
translated into the terms of game theory. The value of such a slave laborer is given in a
Table of Human Values, a table broken down into categories by intellect, experience,
post-service job demand, etc.
Some of these categories are ordinary and can be tentatively evaluated in terms of the
value of certain jobs for which a known fee exists. Some jobs are harder to value because
they are unique to the demands of social subversion, for an extreme example: the value of
a mother’s instruction to her daughter, causing that daughter to put certain behavioral
demands upon a future husband ten or fifteen years
PAGE 41
Silent Weapons for Quiet Wars
hence; thus, by suppressing his resistance to a perversion of a government, making it
easier for a banking cartel to buy the State of New York in, say, twenty years.
Such a problem leans heavily upon the observations and data of wartime espionage and
many types of psychological testing. But crude mathematical models (algorithms, etc.)
can be devised, if not to predict, at least to predeterminate these events with maximum
certainty. What does not exist by natural cooperation is thus enhanced by calculated
compulsion. Human beings are machines, levers which may be grasped and turned, and
there is little real difference between automating a society and automating a shoe factory.
These derived values are variable. (It is necessary to use a current Table of Human
Values for computer analysis.) These values are given in true measure rather than U.S.
dollars, since the latter is unstable, being presently inflated beyond the production of
national goods and services so as to give the economy a false kinetic energy (“paper”
inductance).
The silver value is stable, it being possible to buy the same amount with a gram of silver
today as it could be bought in 1920. Human value measured in silver units changes
slightly due to changes in production technology.
Enforcement
Factor I
As in every social system approach, stability is achieved only by
understanding and accounting for human nature (action/reaction patterns).
A failure to do so can be, and usually is, disastrous.
As in other human social schemes, one form or another of intimidation (or
incentive) is essential to the success of the draft. Physical principles of
action and reaction must be applied to both internal and external
subsystems.
To secure the draft, individual brainwashing/programming and both the
family unit and the peer group must be engaged and brought under
control.
Factor II – Father
The man of the household must be housebroken to ensure that junior will
grow up with the right social training and attitudes. The advertising media,
etc., are engaged to see to it that father-to-be is pussy-whipped before or
by the time he is married. He is taught that he either conforms to the social
notch cut out for him or his sex life will be hobbled and his tender
companionship will be zero. He is made to see that women demand
security more than logical, principled, or honorable behavior.
PAGE 42
Silent Weapons for Quiet Wars
By the time his son must go to war, father (with jelly for a backbone) will
slam a gun into junior’s hand before father will risk the censure of his
peers, or make a hypocrite of himself by crossing the investment he has in
his own personal opinion or self-esteem. Junior will go to war or father
will be embarrassed. So junior will go to war, the true purpose not
withstanding.
Factor III – Mother
The female element of human society is ruled by emotion first and logic
second. In the battle between logic and imagination, imagination always
wins, fantasy prevails, maternal instinct dominates so that the child comes
first and the future comes second. A woman with a newborn baby is too
starry-eyed to see a wealthy man’s cannon fodder or a cheap source of
slave labor. A woman must, however, be conditioned to accept the
transition to “reality” when it comes, or sooner.
As the transition becomes more difficult to manage, the family unit must
be carefully disintegrated, and state-controlled public education and stateoperated
child-care centers must be become more common and legally
enforced so as to begin the detachment of the child from the mother and
father at an earlier age. Inoculation of behavioral drugs [Ritalin] can speed
the transition for the child (mandatory). Caution: A woman’s impulsive
anger can override her fear. An irate woman’s power must never be
underestimated, and her power over a pussy-whipped husband must
likewise never be underestimated. It got women the vote in 1920.
Factor IV – Junior
The emotional pressure for self-preservation during the time of war and
the self-serving attitude of the common herd that have an option to avoid
the battlefield – if junior can be persuaded to go – is all of the pressure
finally necessary to propel Johnny off to war. Their quiet blackmailings of
him are the threats: “No sacrifice, no friends; no glory, no girlfriends.”
Factor V – Sister
And what about junior’s sister? She is given all the good things of life by
her father, and taught to expect the same from her future husband
regardless of the price.
Factor VI – Cattle
Those who will not use their brains are no better off than those who have
no brains, and so this mindless school of jelly-fish, father, mother, son,
and daughter, become useful beasts of burden or trainers of the same.
This concludes what is available of this document
i “Studies in the Structure of Américan Economy” (1953), by Wassily Leontief (Director
of the Harvard Economic Research Project), International Science Press Inc., White
Plains, New York.
PAGE 43
Silent Weapons for Quiet Wars
PAGE 44


Ex 3

Illustrations for pages 13 and 14






Page 18 exhibits






Page 19 illustrations






Page 20 exhibits





Page 21 exhibits














Page 23 exhibits



Page 24 exhibits







Page 28 exhibits






Page 29 exhibits

Last page not part of the silent weapons.